当前位置:首页 > 产品中心 > 医药中间体 > 1,2:5,6-二-O-环己亚基-α-D-呋喃葡萄糖


外观: 白色至类白色结晶性粉末
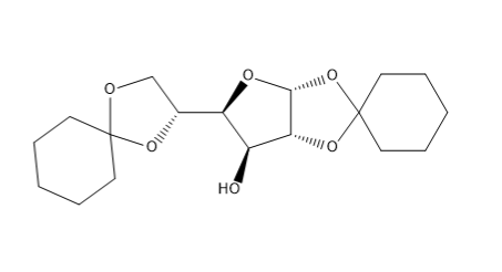
别名:双环己酮葡萄糖
英文名称:1,2:5,6-Di-O-cyclohexylidene-a-D-glucofuranose
CAS号:23397-76-4
分子式:C18H28O6
分子量:340.41
结构式:

理化指标
| 项 目 | 指 标 |
| 外观 | 白色至类白色结晶性粉末 |
| 含 量,% | ≥98.0 |
| 比旋光度,[α]20D
(C=2,EtOH) |
-3.1~-1.1° |
性 状:白色至类白色结晶性粉末。它易溶于环己烷、甲苯等有机溶剂,不溶于水。
用 途:
1,2:5,6-二-O-环己亚基-α-D-呋喃葡萄糖通常作为中间体,广泛应用于有机合成、医药、材料等方面,另外还可以作为手性促进剂。
储 存:密闭,在干燥处保存。
包 装:25kg/桶或按客户要求。
保质期:2年