当前位置:首页 > 产品中心 > 医药中间体 > β-D-麦芽糖八乙酸酯


外观: 白色粉末
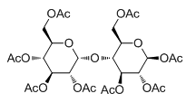
英文名:Octaacetyl-beta-maltose; beta-D-Maltose octaacetate; beta-D-Maltopyranose
octaacetate; 4-O-(2,3,4,6-Tetra-O-acetyl-alpha-D-glucopyranosyl)-beta-D-glucopyranose tetraacetate
分子式:C28H38O19
分子量:678.63
CAS No.:22352-19-8
EC No.:606-994-8
分子结构式:
.png)

规格:
| 项目名称 | 指标 | 项目名称 | 指标 |
|---|---|---|---|
| 外观 | 白色粉末 | 比旋光度, |
+60 ~ +66 |
| 含量,% | ≥ 98 | ||
| 熔点,℃ | 155~161 | 炽灼残渣,% | ≤0.1 |
包装:25KG/纸板桶或根据客户要求。
尺寸:365×560mm
性状:本品为白色粉末,不溶于水,易溶于乙醇、氯仿等有机溶剂。
用途:用于生物化学反应和医药中间体。
储存:密闭储存于阴凉干燥处。
保质期:5年。